In the realm of cosmetic dentistry, teeth whitening stands out as a popular procedure. However, like any medical or cosmetic treatment, it’s crucial to ensure patients are fully informed before proceeding. This is where teeth whitening consent forms come into play. These forms serve as a vital communication tool between dental professionals and patients, ensuring transparency, understanding, and legal protection. This article will delve into the intricacies of teeth whitening consent forms, providing a comprehensive guide on how to get, understand, and effectively utilize them for a successful and ethical dental practice.
Understanding Teeth Whitening Consent Forms
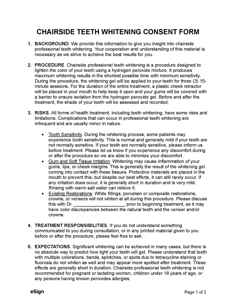
What is a Teeth Whitening Consent Form
A teeth whitening consent form is a legally binding document that patients sign before undergoing a teeth whitening procedure. It serves as a record of informed consent, indicating that the patient understands the nature of the treatment, its potential benefits, risks, and alternatives. The form protects both the patient and the dental professional by establishing clear communication and documenting the patient’s agreement to proceed with the treatment. It is an essential part of providing ethical and legally sound dental care, helping to avoid misunderstandings and potential legal issues down the line. Moreover, it emphasizes the patient’s right to make autonomous decisions about their own healthcare based on complete and accurate information.
Key Components of a Consent Form

A well-structured teeth whitening consent form should include several key components to ensure that patients are fully informed. These components are designed to provide a comprehensive overview of the procedure, its potential outcomes, and any associated risks. By clearly outlining each aspect of the treatment, the form helps patients make an informed decision and provides legal protection for the dental practice. The specific details within each section are critical for ensuring that patients fully understand the procedure and are aware of all potential outcomes.
Patient Information
This section typically includes the patient’s full name, date of birth, contact information, and medical history relevant to the procedure. It is essential to gather this information to ensure the patient is a suitable candidate for teeth whitening and to identify any potential contraindications or risks. Detailed information will allow the dentist to tailor the procedure to the individual’s needs and medical background, providing the safest and most effective treatment possible. Comprehensive patient information is the cornerstone of a safe and customized approach to teeth whitening.
Treatment Details
This section provides a detailed description of the teeth whitening procedure, including the specific method to be used (e.g., in-office, at-home trays), the materials involved, and the expected duration of the treatment. It is important to provide clear, easy-to-understand language, avoiding technical jargon. Illustrative diagrams or visual aids can also be helpful to explain the process. Providing treatment details empowers patients to understand what the procedure involves, what to expect during each session, and how to care for their teeth after treatment.
Risks and Benefits

The risks section should clearly outline the potential side effects and complications associated with teeth whitening, such as tooth sensitivity, gum irritation, and uneven whitening. The benefits section should highlight the anticipated outcomes of the treatment, such as a brighter, more aesthetically pleasing smile. It’s vital to present this information honestly and without exaggerating the benefits. The dentist should also address any concerns the patient might have. Transparency in this section is crucial for building trust and ensuring the patient makes an informed decision based on realistic expectations, thereby promoting satisfaction with the end results.
Alternatives to Teeth Whitening
This section should provide information on alternative treatments for enhancing the appearance of teeth, such as veneers, bonding, or other cosmetic procedures. This ensures patients understand their options and can make the best choice based on their individual needs and preferences. Offering alternatives helps patients understand that teeth whitening isn’t the only way to achieve their desired smile and that there are options with different advantages and disadvantages. It is a sign of a patient-centered approach to dental care.
How to Obtain a Teeth Whitening Consent Form
Where to Find Consent Form Templates

Dental practices can find consent form templates from various sources. Many dental supply companies provide templates that are customizable to fit specific practices. Additionally, legal firms specializing in dental law often offer templates or can create custom forms. Online resources, such as dental associations and professional organizations, can provide example forms and guidelines. Ensure that any template used complies with the specific laws and regulations of the state where the dental practice operates. Consider consulting with a legal professional to review the form and ensure it covers all necessary aspects and adheres to legal requirements.
Legal Considerations
When obtaining and using teeth whitening consent forms, dental practices must consider several legal aspects to ensure compliance. The forms must meet the legal requirements of the state or region, which may include specific language, formatting, and information. Proper documentation, including the patient’s signature and the date, is crucial. The practice should also have a system to securely store the consent forms, adhering to patient privacy laws. Furthermore, the practice should regularly review and update the consent forms to reflect changes in dental procedures, technologies, and legal standards. Consulting with a legal professional is highly recommended to ensure comprehensive compliance with all relevant regulations.
HIPAA Compliance
Protecting patient health information (PHI) is of paramount importance. Ensure that all consent forms and related documents are handled in compliance with the Health Insurance Portability and Accountability Act (HIPAA). This includes securing patient information, limiting access to authorized personnel only, and providing patients with a copy of the practice’s privacy practices. Compliance with HIPAA regulations protects patient confidentiality and avoids potential legal and financial penalties. Implement robust security measures to safeguard all electronic and physical records containing PHI, including encryption, restricted access to digital files, and physical storage in secure areas.
Informed Consent Best Practices

Implementing best practices during the informed consent process will enhance patient understanding and build trust. Provide the consent form to the patient well in advance of the procedure, giving them ample time to review it thoroughly. Offer the opportunity for the patient to ask questions and clarify any uncertainties before signing. Maintain a respectful and open communication style, ensuring the patient feels comfortable expressing their concerns. Use plain language, avoiding complex medical terminology that the patient may not understand. It is essential to document the discussion, including any questions asked and answers provided, within the patient’s record, further ensuring a transparent and comprehensive process.
Explain the Procedure Clearly
Use clear, concise language to explain the teeth whitening procedure. Avoid technical jargon and explain the process step by step. Use visual aids, such as diagrams or videos, to illustrate the process and make it easier for patients to understand. Ensure the patient understands how the whitening agent works, how long the procedure will take, and the expected results. This clarity helps manage expectations and reduces potential misunderstandings. Provide the patient with pre- and post-treatment instructions to ensure the patient knows how to prepare for the treatment and how to care for their teeth afterward for optimal results.
Answer Patient Questions
Encourage patients to ask questions and provide honest, thorough answers. Address any concerns the patient may have about the procedure, risks, or alternatives. Take the time to listen to the patient’s concerns and respond empathetically. Create a comfortable atmosphere where patients feel safe and comfortable sharing their thoughts and feelings. This open communication fosters trust and helps patients feel more confident in their decision. Document the questions asked and the answers given in the patient’s record to create a comprehensive record of the communication.
Review and Signature

Before the patient signs the consent form, review it with them to ensure they understand all aspects of the procedure. Highlight key points, potential risks, and the expected outcomes. Ask the patient if they have any further questions or concerns. Obtain the patient’s signature and date the form, indicating their agreement to the treatment. Make sure the patient also receives a copy of the signed form for their records. Properly executing this process provides a clear record of informed consent, protecting both the patient and the dental practice.
Benefits of Using Consent Forms
Protecting Your Practice
Teeth whitening consent forms provide significant legal protection for dental practices. They serve as documentation that the patient was fully informed about the procedure, its potential risks, and alternatives before consenting to treatment. This documentation is vital if a patient later claims they were not properly informed or suffered complications. By documenting that the patient was informed and gave their consent, dental practices can defend against potential legal claims and ensure compliance with legal and ethical standards. Proper documentation helps mitigate potential liability and maintain a good professional reputation.
Ensuring Patient Understanding

Consent forms improve patient understanding by providing a clear and concise explanation of the teeth whitening procedure. They help patients make informed decisions by presenting the risks, benefits, and alternatives in an easy-to-understand format. This clarity helps manage patient expectations and reduces the likelihood of misunderstandings or dissatisfaction. Giving patients a comprehensive understanding is essential for building trust and ensuring positive patient outcomes. When patients understand the procedure, they are more likely to be satisfied with the results and have a positive experience.
Building Trust
Using consent forms helps build trust between the dental professional and the patient. It demonstrates a commitment to transparency and open communication. When patients feel they are being treated with respect and have all the information they need, they are more likely to trust the dental practice. Building trust leads to increased patient satisfaction, loyalty, and positive referrals. A transparent and ethical approach to patient care fosters a strong patient-dentist relationship, which is a cornerstone of a successful dental practice. Furthermore, trust can enhance patient compliance with treatment plans, leading to better oral health outcomes.
Conclusion
Teeth whitening consent forms are essential for a dental practice. They protect both the patient and the dentist by ensuring transparency, understanding, and legal compliance. By using these forms effectively and following best practices, dental professionals can offer safe, ethical, and successful teeth whitening treatments, ultimately improving patient satisfaction and building a thriving practice. Prioritizing patient education and informed consent is an essential part of providing exceptional dental care.
